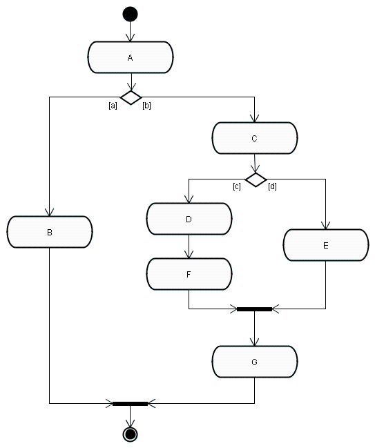
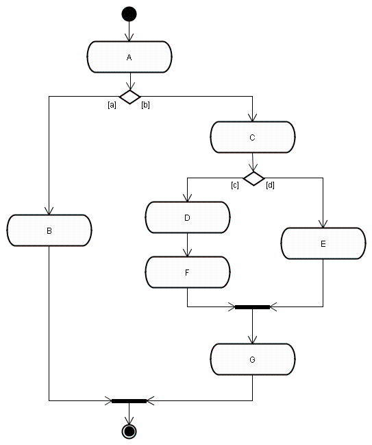
SeaweedFS Filer
30GB 4.12 2d9768539
New Folder
Upload
/
buckets
textiq-images
documents
019b9b9e-16dc-7851-a18d-20023053a62e
images
ステータス戻し実施可否判定
image_1.png
image/png
10 kB
2026-02-27 07:34
image_2.png
image/png
10 kB
2026-02-27 07:34